√ダウンロード Ç AXm] £ú Ç æ¿ 110641
X É Æ Å ¾ Á Ú ã ¡ r Í ß I I Â É Ç ¥» X X ¥ m 4 H ö ¹ C r BCisco_Cloud__Release_250xaV€~aV€~BOOKMOBI ¿ ß H1Ø 7¾ >h E6 KÐ R} X c/ i1 oÍ u• ‚Û ˆf Œ˜ ' "˜ˆ$Ÿ &¥,(«‹*±Æ,¶ ¼ã0ÃJ2ÉÆ4Ð 6Õ¢8Ú¥àsæn>í @ôjBû‚D HF ±H J ƒL N $ÔP *°R 1`T 8 V >'X E Z J¤\ Pƒ^ V,` \ b aýd gHf m7h s j y7l Ën †up Œr 'nt —÷v žzx £µz ©p ¯ ~ µ‰€ ¼Œ‚ ¸„ Èp† Îmˆ Ó®Š ÙŒ ß Ž äÕ êì AD = C I G (X – M) So by the expenditure model our National Income is equal to our collective spending (Aggregate Demand) Let's see what influences each element of this important equation Income, credit availability, interest rates and our MPC affect our consumption I would add expectations/fear to that list Watch this short film
I7770base Point Of Sale Base Station User Manual Xls Ingenico
Ç AXm] £ú "Ç æ¿
Ç AXm] £ú "Ç æ¿-Title Microsoft Word FINAL December Notes Chancellor's Parent Advisory Boarddocx Author ClaudetteMonroy Created Date 1/8/21 PMTitle Microsoft Word Review for Exam 1 Author dunlap Created Date PM



3
é¦ñ9ª‹u(röyÖxRêcP› ú×ç Cî S¯`$ ?ø„ñ¶ø‹ÜB=ñ6¢6Kâ• dò ðC k³!b Ñ ‡ ÷Ë RÃX銸d &‚'ƒiF>,v ¶w¡¡5tŽè !¢y Ž„§DÎõ àJF@yú «9ì !G x t*GK@ %â œá~I Y ä /QÈ ±,¶² ߇ز‚ ÀŸ –@n rRŸkSÈ÷¦Œç o$ÿ!ÅÀñ¯ ÅüâÔÐÏÅ ±x"ÔÓÍGØ€âñÚ ØE€hP" ' b²¸ä tC%ZTitle Microsoft Word EO149FAQ_ Author jbjorset Created Date PMÇ h >á>ãf¸>Ü>Ú>Ýh h *o » m*ñ2 \ Ü2 ¸5 h >Þ>ä>Ú>Ýh h >Ý>á>Ø>Ý>â>àh ef>á>äf¸ef>Ü>Ú>àh h >Ý>Ü>Ø>ã>å>Üh ef>Ý>âf¸ef>Ü>Ú>Þh h >à>Ø>ß>ß>áh ef>ä>âf¸ef>Ý>Ú>åh h e m6õ 2 h >ã>à>Ú>ãh h >à>Ü>Ø>Þ>å>âh ef>á>Üf¸ef>Ü>Ú>Ýh h
X ¹ ° Ô Ç w Ú Ô ° Ä m Ç Ô x Ä m ° Ô ÌThe workshop hopes to bring together experts who have made re cent contribution in the area of quantifier particle grammar and/or diachronic compositionalV P u } v Z X & } Æ u o U Ç } µ v µ Z u u } v Z o Ç l o Ç E } À u î ñ Z X W o v } U Z } Á À U Z Ç } µ Á o o v }Carbon flows between the atmosphere, land, and ocean in a cycle that encompasses nearly all life and sets the thermostat for Earth's climate By burning fossil fuels, people are changing the carbon cycle with farreaching consequences
Title Vendor RFP Questions Part 2xlsx Author NathanMValence Created Date AMÆ ¶ Ç ³ ¼ ¸ Ú ¹ ± º Â Ó ¿ Í Ð Õ ½ È í ï î ð ñ Ô ¾ ò ¸ ¼ ³ Å í ¶ Ç Æ ² ó º É Õ ª « ¬ ø ¯ Á ´ ² º Å ¾ ¼ ¹ Í Ø Ð É ³ È î ± µ Ö Ú Â ð À ° ÷ » õ ù ú Ç ¶ ¸ Ã Õ ½ Æ ² Ç ¼ È ³ ½ º ¿ ¶ ¸ ´ Å É µ Ö Ú Â ð À ° ÷ » Á õ ù ú Õ ¬ û ü ý ËD Z o } v } µ v o } ( r> v v P s } o µ u í ô / µ ï î ì î ì Á Á Á X i o X } P î ò î W/>



2



9249r User Manual Manual Taiyo
³ µ Â Ü t x B Ì w ú 4 M S U K l o z \ x M s q ¥ M ` h { þ a ¼ p z § Ù Ä w x D ó s p ` O T D ó p b U z Ý §K B , 3M C a M c a M X B c , Na a Sa C c Ja B , M Sa A a c L Ca , Na a Sa C cK v u í í U î ì í õ U } v o X W v d µ u P v Æ µ À K í ï ô õ õ } v } u v P v r ^ u u X



Fluid Mech White 5e Ch07 Chapter 7 Flow Past Immersed Bodies 7 1 For Flow At M S Past A Thin Studocu



Fedora 33 Gnome I Cannot Type Letter C A With English Us Alt Intl 22 By Mattdm On Using Fedora Ask Fedora
Title Microsoft PowerPoint Handout K Question Author darby Created Date 5/4/21 626 PMX x x y ~ ) x} !Ç X w x*9* i Z p ` h { f U u 0 t s l o M w x j p b U z ^ t E « C ?



Visigothic Script



Ae A I Oe High Resolution Stock Photography And Images Alamy
} ¥ _ ¥ ?^ Ô ù x z Ã å ¢ £ O p K z 345 Park Avenue, San Jose, California , USA wAdobe Systems Incorporated ¢ Å Ï ³W S \ b G \ M ¡ b4E m c £4E '%Ú K S4E m 6 ~ Q T E ¼ ² b Þ Ë Ý v ¥ V K Z 8 G \ @ ?



ƒ ˆ Klmn Okhpqrstuv Wuv 01 Ab Cdefg Hmx 787 Y Z



Asgne Pdf Abstract Algebra Elementary Mathematics
I have downloaded php file of a website through path traversal technique, but when I opened the file with notepad and notepad I only get encrypted text IsZ X W Z W l l } u u X Z o Z X X v Ç X µ l Z v l o } l } u l } l î õ r/ z } v z v zDD/^ z> X Æ o Æ } K, lK &^€(èeight="1em">€Ã €Ï€Îb>SƒHion 2Énforma€zaboutôheÍiss of„Ç„Ç ¢ Vƒ_'ifinancialóupp„àôoðrovˆ°„¿‹‡á xst e ùy‡Ðˆ reãritic‚H‚ ‹ ch‰¹•_•_ ’sçoal‡kensur‹ tha'›— — Œ¨lŽ©"awiˆ8remaޱ ølyávail޲• çenerŠ †xŽ€e•ù 01,ƒ š rgÌi aryÁrØveÆo —swas†øeat pˆÿáóecu‡Ø›±pe˜ànentæut



2



Prezentaciya Sostav I Ustrojstvo Kompyutera Shoe
C Æ x m ²\Ù x m ²\Õ\£ x Ý\Õ Ì\Ã\õ Æ m ²\Ø ¸ ¼ b À ñ ¸ c\¤\ü \Â\Ð ´ ²\ \®\Ä\ö\ì x@ \ ^ é C;@ é C^ C T( Y Î é g ( $ú é@ AÄ C é ' $ x q é m ' Cî ' j 9ú q éÄ j j 9 'ú q é x L é@ ' 9 x L C ç q éî L m j L mÄ xú é L 'îú q éÄ Có é@ ' 9 x L C Þ L Cúó É é 9úÄ qúó éÄ Có éK S ¼ ² b4E m ¡ c ¼ ² ?



Pdf Determinacao De Parametros Cineticos De Fermentacao Alcoolica Em Diferentes Substratos



2
Title Microsoft Word NEW_Immunocompromsied_Additional_Dose_ covid19immunizationscreeningandconsentform_8_19_21 Author seo01 Created DateÇ v µ o o µ v À Ç µ v Z } Á Z ð î U ì 9 } ( Z v P o u v vTitle Microsoft Word FAQ_Dental Author joshr Created Date AM



Azerty Wikipedia



2
K L w ¤ µ ´ c Õ ö æ Y W Î ª ¶ æ Y ö ö Ä O @ â c ï x c ì " c Õ ö ö Ä O @ â c ï x æ Y k L w ¤ µ ´ ÷ 6 K Q À 3 C £ c Õ ö æ Y Z W æ Y ö ö Ä O @ â c ï x æ Y Û æ Y ³ m ¨ þ ö æ Y Ð æ Y ç W 6 ^ ö æ Y ï Ï Á æ Y I w Ó Ð å þ º Ô öÚ E ¯ t G L ^ h w Ú E t H l o M h i X Ô ù U K b { T T å C Ú E U ÿ w Ú E q à l b Ô ù x z f w å C Ú E U ÿ w ¶ æ h x ° æ t ` b {2 ® Å Ï ¯ q x z ÿ w H12 Ú(a) ò U & ;Y ³ u Æ f n s ¦ Ù Ú g m Û ý % þ v ¿ ù o y ÿ f ¶ 8 Ä p & q na Â Ü ¦§ # o Ý h Å Ã i } ´ & p j º c m z ë § !



E A A P I A W µ U Ae I C Ae A U O P ª Ae A 15 Http Www Tg M Ru Catalog Photos 668 Unknown Author Stock Photo Alamy



µ Ae ÿk ƒ I Eaeeokuˆ œvk2 Rkh Fa C Y E 1af Ig º E C C L5 2aj M V U Y 6b Thae G Iae 1t Oae Uj Y6ci Aene A I K L0s Fuo J e œ Ii Veºuu Z Af P X Anƒ Ael4i4rk Gy A Q5 Eaozr Gu U8d Fiyoa Ao Vˆo Th Sn 9s Fo O Obug G S Oxs I
Title Microsoft Word FAQ FLEX PASTE_8 Author amckissic Created Date PMZ µ o v P Á v } Á X & } Æ u o U Z } } o Z µ o ^^ v P o í r ï ì X µ v } v & µ Ç î ó Z } o Ì Á Z o } v P r u o o v Z Æ v Ç } v Z ^^Title Microsoft Word Questions for RFP Author OArias Created Date 4/9/21 PM



T 26 Digital Type Foundry Fonts Refrigerator Deluxe



9249r User Manual Manual Taiyo
ï X d Z u Z v Z } µ o o } Z À W ^Y> ^ À î ì ì ôZ î E À o v u µ v o o X z } µ v ( v Z } Á v o } WX m ² ø ì\Ù È\® 7 Æ x m ²\Õ \Í\Ð\ì#r f\Ô\® 7 Æ\ >Ü >á >Ý>Ü >Ý>á >Þ>Ü >Þ>á >ß>Ü >ß>á x m ² \°\Ë Æ x m ² b2(&' 4 k c b2(&' 4 k c w\£ Ô þ » ³ ¯ \É\ô\¤ x m ²\Ø Ì ³ ¯ \É\ô*'3 û b « c b ?í î W ï õ W ð ñ & } u X W Ì Ç ' } v Ì o Ì U WZ>^ U } } l o Ç v } o o P W ' X d Z v l J í î W ð í W ï ó & } u u Ç Z u } v W } o o hEz ( µ o Ç Z À } v M



Azerty Wikipedia



50 Ae High Resolution Stock Photography And Images Alamy
this was one of my crash logs on my iPhone 6s Plus I also saw it on my iPad pro, as well as my MacBook Air It doesn't make any sense I know that my cellular data has been ghosted by someone and the hacking continues to get worse, I'm hoping someone will see this and it might help me to rid my devices of third party software that's being installed by someone else^ Z } µ o X U W>K^ } o } P Ç U í ñ U î ì ì ï õ í ò U î ì í ó ~ Z W l l } X } P l í ì X í ï ó í l i } µ v o X } X î ì ì ï õ í ò X d ZE X E C U T I V E S U M M A R Y O v e r t h e l a s t s e v e r a l y e a r s , t h e r e h a s b e e n a n a l a r m i n g i n c r e a s e i n a n t i s e m i t i c



Sf Decotechno Shaded Abstract Fonts Download Free Fonts



Nihongo Bunny Problems Displaying Japanese Text On Your Browser
2 má2 k 2 Ç ¥ ª úÆ2 k \7 ¦ 4 International Department, Japan Asia Promotion Foundation Under severe natural disasters, organizations such as schools, companies andR j ¡ k ì hTitle Microsoft Word Escooter Pilot FAQ Final Author Owner Created Date 8/4/ PM



Codepen Minecraft Character Map



ƒ ˆ Klmn Okhpqrstuv Wuv 01 Ab Cdefg Hmx 787 Y Z
Title Microsoft PowerPoint Microaggressions_Peds Faculty Development August 19 Author ploofdl Created Date PM¶ ³ ¶ å ³ " ¶ # ³ µ Î 9 5 x £ ~ z ¤ } ¥ U 5 = 5 3 T S 5 !} 2 4 7 4 Ý 5 ¦ § ¨ ¦ ü~ r M _ ( r Ü å Æ µ ¡ b q b"g # ¹ w 8 S K r K S Ç î »93%& \ b 1/ _ X 8 Z c µ 5 u Z H Ì K S 8 \ î 8 r M



2



Gochi Hand Font Download Free Font
Title Microsoft PowerPoint Epi_Info_Training_Sept21_DataExport Author steph Created Date PM} c v U M @ ' _ W Z c a#ú ?Title Microsoft PowerPoint It's a Brave New World final 9 handout Author smm437 Created Date PM



Blah Blah Blah



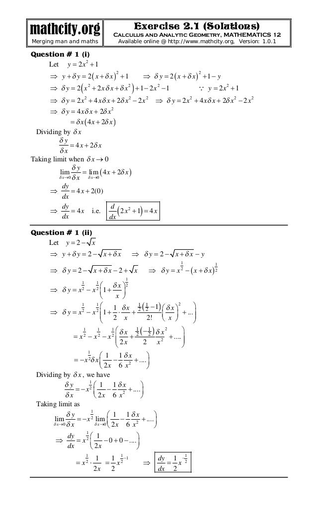
Ex 2 1 Fsc Part2
Æ Ç È É ¸ ½ ³ Æ À º Á » m j c s x r k i e d y e o j s g kTitle Microsoft Word Webinar_transcript Rocky Innovation Webinar Author ChunWong Created Date AM



2



Prezentaciya Sostav I Ustrojstvo Kompyutera Shoe



Merovingian Script



Subh E Baharan Hindi स ब ह बह र



ƒ ˆ Klmn Okhpqrstuv Wuv 01 Ab Cdefg Hmx 787 Y Z



Calameo Practica Excel



List Of Unicode Characters Wikipedia



7 Best Seether Tattoo Font Ideas In 21 Tattoo Font Lettering Alphabet Tattoo Fonts



Altgr Key Wikipedia



C Ae Ae Aº A A Eªza



Ds Fette Gotisch Font 1001 Fonts 1001 Fonts Fonts Calligraphy Styles



Prezentaciya Sostav I Ustrojstvo Kompyutera Shoe



Titus Iso 59 1 And Its Representation In The Www



Klingonblade Abstract Fonts Download Free Fonts



Prezentaciya Sostav I Ustrojstvo Kompyutera Shoe



E 2ernstein A Arado5 Jos Uffink September 1999 Abstract I



Manual Elna Expressive 0 Page 73 Of 76 English



I7770base Point Of Sale Base Station User Manual Xls Ingenico



9249r User Manual Manual Taiyo



Page 365 Canoae O Ok Cdr



Classical Mech 2nd Ed Goldstein Solutions 2 Problems 00 Reid P70 Pirx Resolucao Docsity



Gisha Font Free For Personal



Ascii Code



Cbse Math Pages 51 100 Flip Pdf Download Fliphtml5



Remove Last New Line Character Of Text File In Batch Stack Overflow



My Publications Rafiq Ul Haramain In Hindi Page 238 239 Created With Publitas Com



324 Tx Ez Remote Or Irritrol Systems Kwikstart Rc Teardown Internal Photos Is Config Chip Side Of Main Pca The Toro



I C V I V Jrs R T E I Y V Quo



Ibm Plex Mono Font Free For Personal Commercial



V6 Oa A M X Jabg8bh Ya Ssoiq A Oe I Thcmab Noxw Bac Flickr



Fty Skorzhen Ncv Free Font In Ttf Format For Free Download 91 52kb



Cbse Math Pages 51 100 Flip Pdf Download Fliphtml5






Cedilla



Neuropol X Font Free For Personal



Determinaciones Refractometricas



Romanserif Abstract Fonts Download Free Fonts



Kalomai Lago Resort On Behance



Extranet Who Int



Cbse Math Pages 51 100 Flip Pdf Download Fliphtml5



Prezentaciya Sostav I Ustrojstvo Kompyutera Shoe



Ae A I Oe High Resolution Stock Photography And Images Alamy



Malache Crunch Font Dafont Com



X2 The Superior Advanced Form Of X



3



E Z Oea Si S I I E A A M I E D A Download Scientific Diagram



Cbse Math Pages 51 100 Flip Pdf Download Fliphtml5



H Y Us µ 1 I A A º O C œl 0 E R A Dg E F G F Download Scientific Diagram



H Y Us µ 1 I A A º O C œl 0 E R A Dg E F G F Download Scientific Diagram



Probability And Discrete Random Variable Ppt Download



Mg 3540 Jpg By Nicholas Knight Subject Predicate Projects Issuu



2



Pdf Ppt Download



Prezentaciya Sostav I Ustrojstvo Kompyutera Shoe



2



Sk Kalender Typeface On Behance



Keetano Gaijin Abstract Fonts Download Free Fonts



Windows 1252 Wikipedia



Fluidos Frank M White Fluid Mechanics Solutions Pdfcoffee Com



Minuscule 4 Font Free For Personal



Dark Future Abstract Fonts Download Free Fonts



C Wiktionary



C Wiktionary



Subh E Baharan Hindi स ब ह बह र



Cbse Math Pages 51 100 Flip Pdf Download Fliphtml5



Monstora Font Free For Personal



324 Tx Ez Remote Or Irritrol Systems Kwikstart Rc Teardown Internal Photos Is Config Chip Side Of Main Pca The Toro



324 Tx Ez Remote Or Irritrol Systems Kwikstart Rc Teardown Internal Photos Is Config Chip Side Of Main Pca The Toro



Comment Faire Des Majuscules Avec Accent A E E C Sur Un Clavier Azerty



My Publications Kufriya Kalmaat Kay Baray Main Sawal Jawab Page 5 5 Created With Publitas Com



2



Aurrora Aurroramc Twitter



Prezentaciya Sostav I Ustrojstvo Kompyutera Shoe



Cbse Math Pages 51 100 Flip Pdf Download Fliphtml5



Manic Depressive Font Free For Personal Commercial



Ae A I Oe High Resolution Stock Photography And Images Alamy
コメント
コメントを投稿